
- Cahn-Ingold-Prelog 규칙: 카이랄성 중심에서 치환기들의 삼차원적인 배열을 나타내는 표현 방법에 대한 규칙
규칙 1. 카이랄성 중심에 직접 결합된 원자들을 살펴보고, 원자 번호가 감소하는 순서로 우선순위를 정한다. 가장 원자 번호가 높은 순위가 1번이 되고, 가장 낮은 원자 번호를 가진 원자가 가장 낮은 순위(4번)가 된다.
- 일반적으로 Br > Cl > S > P > O > N > C > 2H > 1H
규칙 2. 만일 치환기에 있는 첫 번째 원자로 우선순위를 결정할 수 없다면 카이랄성 중심으로부터 떨어져 있는 두 번째, 세 번째, 네 번째 원자들을 차이가 날 때까지 비교한다.
- 예를 들어 -CH3와 -CH2CH3은 첫 번째 원자가 탄소로 규칙 1에서는 동등하나, -CH2CH3은 두 번째 원자로 수소보다 우선순위가 더 높은 탄소를 가지고 있으므로 -CH2CH3이 -CH3보다 우선순위가 높다.

규칙 3. 다중 결합된 원자들은 같은 수의 단일 결합된 원자와 동등하다.
- 예를 들어 알데하이드(-CH=O)는 탄소 원자에 두 개의 산소 원자가 단일 결합된 치환기로 간주하여 우선순위를 결정한다.
- 따라서 C=C 이중결합은 한 탄소에 C-C 결합 두 개가 있는 것과 동일하다.

- 이렇게 카이랄 탄소에 결합된 치환기들의 우선순위를 결정하고, 우선순위가 가장 낮은 치환기(4)를 우리로부터 멀리 뒤로 향하도록 배치하고 분자 배향에 따라 나머지 우선순위를 시계 방향 혹은 반시계 방향으로 배열한다.
- R 배열(R configuration): 우선순위에 따라 1 → 2 → 3 방향이 시계 방향
- S 배열(S configuration): 우선순위에 따라 1 → 2 → 3 방향이 반시계 방향

- 예시: lactic acid는 카이랄성 중심에 OH (1), COOH (2), CH3 (3), H (4) 네 개의 치환기를 가지고 있다. 가장 우선 순위가 낮은 H를 뒤쪽으로 배치하고 우선순위에 따라 R 배열과 S 배열을 그리면 아래와 같다.

- 주의: 광회전도의 부호인 (+), (-)는 R, S 배열과 무관하다. R 배열이 우회전성(+)일 수도 있고, 좌회전성(-)일 수도 있다.
Problem 5-7. Which member in each of the following sets ranks higher?
(a) -H or -Br (b) -Cl or -Br
(c) -CH3 or -CH2CH3 (d) -NH2 or -OH
(e) -CH2OH or -CH3 (f) -CH2OH or -CH=O
Answer.
(a) -Br (b) -Br (c) -CH2CH3 (d) -OH (e) -CH2OH (f) -CH=O
Problem 5-8. Rank the following sets of substituents:
(a) -H, -OH, -CH2CH3, -CH2CH2OH
(b) -CO2H, -CO2CH3, -CH2OH, -OH
(c) -CN, -CH2NH2, -CH2NHCH3, -NH2
(d) -SH, -CH2SCH3, -CH3, -SSCH3
Answer.
(a) -OH > -CH2CH2OH > -CH2CH3 > -H
(b) -OH > -CO2CH3 > -CO2H > -CH2OH
(c) -NH2 > -CN > -CH2NHCH3 > -CH2NH2
(d) -SSCH3 > -SH > -CH2CH3 > -CH3
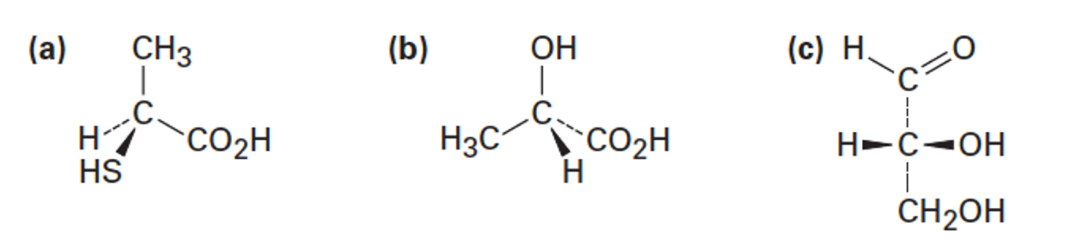
Problem 5-9. Orient each of the following drawings so that the lowest-ranked group is toward the rear, and then assign R or S configuration:

Answer.

❗️ tip: 가장 우선순위가 낮은 치환기가 뒤쪽으로 가도록 바라본다고 상상하고 분자 배치를 그려본다. 예를 들어 (c)와 같이 4번 치환기가 그림 상 위쪽에 위치할 경우, 해당 분자를 아래에서 바라본다고 생각하고 배치하면 S configuration이 된다.
Problem 5-10. Assign R or S configuration to the chirality center in each of the following molecules:

Answer.

Problem 5-11. Draw a tetrahedral representation of (S)-2-pentanol (2-hydroxypentane).
Answer.

Problem 5-12. Assign R or S configuration to the chirality center in the following molecular model of the amino acid methionine (blue = N, yellow = S):

Answer.

'전공필수 > 유기화학 (Organic chemistry)' 카테고리의 다른 글
| [유기화학] 5-7. 메조 화합물 (Meso compounds) (0) | 2023.03.04 |
|---|---|
| [유기화학] 5-6. 부분입체이성질체 (Diastereomers) (0) | 2023.03.02 |
| [유기화학] 5-4. Pasteur의 거울상이성질체 발견 (Pasteur’s discovery of enantiomers) (0) | 2023.02.26 |
| [유기화학] 5-3. 광학 활성 (Optical activity) (0) | 2023.02.25 |
| [유기화학] 5-2. 분자에서 손잡이성에 대한 이유: 카이랄성 (The reason for handedness in molecules: Chirality) (0) | 2023.02.23 |