
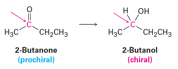
- 선구카이랄(Prochiral): 한 번의 화학적 단계로 비카이랄로부터 카이랄로 전환될 수 있는 분자
- 예: 2-butanone은 수소 첨가에 의해 2-butanol이 되면 카이랄이 되므로, 선구카이랄이다.

- 이때 선구카이랄에 어느 면에서 반응이 일어나는가에 따라 생성되는 거울상이성질체가 달라진다. 선구카이랄 분자의 우선순위를 정했을때 시계방향으로 회전하는 면을 Re face (R과 비슷), 반시계방향으로 회전하는 면을 Si face (S와 비슷)라 한다. Re 면에 수소가 첨가되면 (S)-2-butanol이, Si 면에 수소가 첨가되면 (R)-2-butanol이 생성된다.

- 선구카이랄성 중심(prochirality center): 결합된 치환기 하나를 바꿨을 때 카이랄성 중심이 되는 sp3-혼성 원자
- 예: ethanol에서 -CH2OH 탄소의 치환기 하나를 바꿔주면 chirality center가 된다.

- pro-R: 원래 화합물에 있던 두 개의 동일한 원자 중, 치환했을 때 R 카이랄성 중심이 되게 하는 원자
- pro-S: 치환했을 때 S 카이랄성 중심이 되게 하는 원자
Problem 5-22. Identify the indicated hydrogens in the following molecules as pro-R or pro-S:

Answer.

Problem 5-23. Identify the indicated faces of carbon atoms in the following molecules as Re or Si:

Answer.

Problem 5-24. The lactic acid that builds up in tired muscles is formed from pyruvate. If the reaction occurs with addition of hydrogen to the Re face of pyruvate, what is the stereochemistry of the product?

Answer.

(S)-lactate가 생성된다.
Problem 5-25. The aconitase-catalyzed addition of water to cis-aconitate in the citric acid cycle occurs with the following stereochemistry. Does the addition of the OH group occur on the Re or Si face of the substrate? What about the addition of the H? Do the H and OH groups add from the same side of the double bond or from opposite sides?
Answer.

-OH는 C2의 Re 면으로, -H는 C3의 Re 면으로 첨가되어 (2R,3S) product를 형성한다. 그림과 같이 각각은 반대 방향이다.