반응형

- 알켄의 이중 결합 탄소는 sp2 혼성이고 서로 120도의 각을 이루며 같은 평면에 놓여 있는 동등한 세 개의 혼성 오비탈을 가지고 있다. 이 sp2 오비탈들이 정면 겹침에 의해 하나의 시그마 결합을 형성하고, sp2 평면에 수직으로 놓여 있는 p 오비탈들이 측면 겹침으로 하나의 파이 결합을 형성한다.
- 이렇기 때문에 단일 결합은 회전이 용이하지만 이중 결합에서는 회전이 어렵다. 이중 결합 주위를 회전시키기 위해서는 일시적으로 파이 결합이 끊어졌다가 다시 형성되어야 하기 때문이다. 따라서, 이중 결합의 회전 장벽 에너지는 적어도 파이 결합 자체의 세기보다 커야 한다.

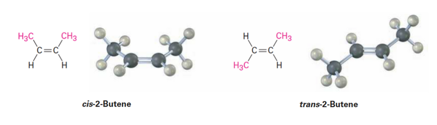
- 즉 이중 결합의 회전이 일어날 수 없기 때문에 두 개의 알켄 이성질체는 자발적으로 상호 변환될 수 없고 이들은 분리 가능한 서로 다른 화합물이 된다. 이치환 사이클로알케인의 경우와 같이 이러한 알켄 이성질체를 시스-트랜스 입체이성질체(cis-trans stereoisomers)라고 부른다.
- cis: 이중 결합의 같은 쪽에 치환기를 가지고 있음.
- trans: 이중 결합의 반대 편에 치환기를 가지고 있음.

- 시스-트랜스 이성질현상은 이중 결합 양쪽 탄소에 두 개의 다른 치환기가 결합되어 있는 모든 알켄에 일어날 수 있다. 단, 한 탄소에 두 개의 동일한 치환기가 결합되어 있으면 시스-트랜스 이성질현상은 불가능하다.
Problem 7-8. The sex attractant of the common housefly is an alkene named cis-9-tricosene. Draw its structure. (Tricosane is the straight-chain alkane C23H48.)
Answer.

Problem 7-9. Which of the following compounds can exist as pairs of cis–trans isomers? Draw each cis–trans pair, and indicate the geometry of each isomer.
(a) CH3CH=CH2 (b) (CH3)2C=CHCH3 (c) CH3CH2CH=CHCH3
(d) (CH3)2C=C(CH3)CH2CH3 (e) ClCH=CHCl (f) BrCH=CHCl
Answer.
이중 결합의 각 탄소에서 두 개의 다른 치환기가 있는 화합물만이 cis-trans isomer가 존재하므로 (c), (e), (f) 만이 cis-trans isomer를 가진다.

Problem 7-10. Name the following alkenes, including a cis or trans designation:

Answer.
(a) cis-4,5-dimethyl-2-hexene
(b) trans-6-methyl-3-heptene
반응형
'전공필수 > 유기화학 (Organic chemistry)' 카테고리의 다른 글
| [유기화학] 7-6. 알켄의 안정성 (Stability of alkenes) (0) | 2025.11.16 |
|---|---|
| [유기화학] 7-5. 알켄의 입체화학과 E,Z 배열 (Alkene stereochemistry and the E,Z designation) (2) | 2023.05.02 |
| [유기화학] 7-3. 알켄의 명명 (Naming alkenes) (0) | 2023.04.29 |
| [유기화학] 7-2. 불포화도 계산 (Calculating degree of unsaturation) (0) | 2023.04.27 |
| [유기화학] 7-1. 알켄의 공업적인 제법과 용도 (Industrial preparation and use of alkenes) (0) | 2023.04.25 |