반응형

- 위치특이성(regiospecificity): 첨가 반응이 일어나 두 가지 가능한 배열 중 어느 한 쪽의 첨가가 일어나는 반응
- 예시: 2-methylpropene의 HCl과의 첨가 반응에서는 2-chloro-2-methyl-propane만이 유일한 생성물로 생성된다.

- Markovnikov 규칙(Markovnikov’s rule): 알켄에 HX가 첨가될 때 H는 알킬 치환기 수가 적은 탄소에 결합하고, X는 알킬 치환기 수가 더 많은 탄소에 결합한다.
- 이중 결합의 양쪽 탄소 원자가 같은 수의 치환기들을 가지면 생성물이 혼합물로 얻어진다.
- 예시: 위의 2-methylpropene과 HCl 간의 첨가 반응에서 왼쪽 탄소는 두 개의 알킬 치환기를 가지고 있고, 오른쪽 탄소는 알킬 치환기가 없기 때문에 Markovnikov 규칙에 의해 H는 오른쪽 탄소에, Cl은 왼쪽 탄소에 첨가되어 2-chloro-2-methylpropane이 생성된다.

- Markovnikov 규칙의 다른 표현: 알켄에 HX의 첨가 반응에서 반응 중간체로 치환기 수가 적은 탄소양이온보다는 오히려 치환기 수가 보다 많은 탄소양이온이 생성된다.
- 예시: 2-methylpropene의 HCl과의 첨가 반응에서 H가 알킬 치환기가 적은 탄소에 결합하면 tertiary carbocation을 형성하고, 더 많은 탄소에 결합하면 primary carbocation을 형성한다.

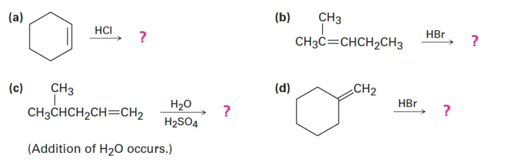
Problem 7-16. Predict the products of the following reactions:

Answer.
(a) 1-chlorocyclohexane
(b) 2-bromo-3-methylpentane
(c) 3-methyl-2-pentanol
(d) 1-(bromomethyl)cyclohexane
Problem 7-17. What alkenes would you start with to prepare the following products?

Answer.
(a) cyclopentene
(b) 1-ethylcyclohexene
(c) 2-pentene
(d) 2-methylcyclohexene
반응형
'전공필수 > 유기화학 (Organic chemistry)' 카테고리의 다른 글
| [유기화학] 7-10. 해몬드 가설 (The Hammond Postulate) (0) | 2025.11.16 |
|---|---|
| [유기화학] 7-9. 탄소양이온의 구조와 안정성 (Carbocation structure and stability) (0) | 2025.11.16 |
| [유기화학] 7-7. 알켄의 친전자성 첨가 반응 (Electrophilic addition reactions of alkenes) (0) | 2025.11.16 |
| [유기화학] 7-6. 알켄의 안정성 (Stability of alkenes) (0) | 2025.11.16 |
| [유기화학] 7-5. 알켄의 입체화학과 E,Z 배열 (Alkene stereochemistry and the E,Z designation) (2) | 2023.05.02 |