반응형

*산화(Oxidation): 아래 두 가지 이유 중 하나로 탄소의 전자 밀도가 감소하는 것
1) C-O, C-N, C-X 결합 중 하나의 형성
2) C-H 결합의 끊김
- Epoxidation (에폭시화): Alkene → Epoxide

- 시약 & 기본 반응
- 시약: Peroxyacid (RCO₃H) 류 (ex. mCPBA(meta-chloroperoxybenzoic acid))
- 생성물: Epoxide(3원자 고리, cyclic ether) + RCO₂H
- 반응은 one-step (direct) 진행되며, C=C에 syn addition 형태로 산소가 전달된다.
- cis-alkene → cis-epoxide / trans-alkene → trans-epoxide
- 즉, 입체성질 보존됨.
- 메커니즘 포인트
- concerted 방식 → 카보카티온•중간체 없음
- 산소가 두 탄소에 동시에 결합하면서 3원 고리 형성
- 반응 중 가장 멀리 있는 산소(카보닐에서 떨어진 O)가 알켄으로 전달됨
- 할로하이드린을 통한 간접 에폭시화

- 알켄 + HO–X → Halohydrin (anti addition: OH, X이 반대쪽에서 붙음)
- 염기 처리 → 내부 SN2 → epoxide 형성
- 할로하이드린 경로는 항상 anti 생성 후 내부 SN2 → 결과적으로 syn epoxide
2. Epoxide Opening (산 촉매 opening) → trans-1,2-Diol
- 기본 반응
- Epoxide + H₃O⁺, H₂O → 1,2-diol(glycol)
- 에폭사이드가 열릴 때 항상 anti opening → 생성물은 trans-diol
- 메커니즘

- 에폭사이드의 O가 protonation
- H₂O가 backside 공격 → 고리 opening
- 탈양성자화(Deprotonation) → HO–C–C–OH 형성 (trans)
- 특징
- cycloalkane epoxide의 경우 반드시 trans-1,2-diol 생성
- “에폭시화(syn) → 산 개환(anti)”의 조합이기 때문에 최종적으로는 anti-diol, 즉 trans-diol이 나온다
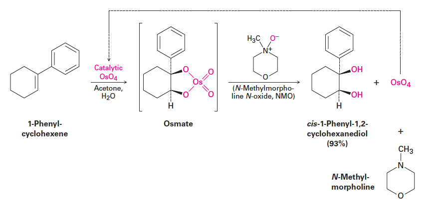
3. Hydroxylation with OsO₄ → syn-1,2-Diol
- 시약 & 반응
- 시약: OsO₄ (촉매량), NMO(co-oxidant)
- 생성물: syn-1,2-diol (cis-diol)
- NaHSO₃ 등으로 사이클릭 오스메이트를 분해하여 최종 diol 생성
- NMO가 OsO₄를 재산화해 다시 반응에 참여하므로 촉매로 사용 가능

- 메커니즘 & 입체화학
- OsO₄가 알켄과 syn addition → cyclic osmate (5-membered) 생성
- 분해 후 cis-1,2-diol 생성
- cis-alkene → cis-diol / trans-alkene → trans-diol (반응 자체가 syn이므로, 시작 알켄의 입체가 그대로 반영됨)

Problem 8-13. What product would you expect from reaction of cis-2-butene with meta-chloroperoxybenzoic acid? Show the stereochemistry.
Answer.
cis-2-butene → cis-2,3-epoxybutane (syn epoxidation → 입체 보존)
Problem 8-14. Starting with an alkene, how would you prepare each of the following compounds?
Answer.
(a) cyclohexene + OsO₄, NMO → cis-1,2-cyclohexanediol
(b) CH₃CH₂CH=CHCH₃ + OsO₄, NMO → syn-diol (그려진 입체와 동일)
(c) HOCH₂CH=CHCH₂OH + mCPBA → epoxide 형성 → 산 촉매 opening (H₃O⁺) → trans-diol
반응형