반응형

- 카벤(Carbene)의 생성과 알켄으로의 첨가
- 카벤(R₂C:): 6전자를 가진 중성 divalent carbon으로, 전자 부족(electrophilic) 상태라 C=C에 직접 첨가하여 사이클로프로페인을 생성함.
- 반응은 중간체 없이 한 단계로 일어남.

- 대표적인 생성 방법: CHCl₃ + 강염기(KOH)
- CHCl₃의 α-H가 제거되면 트리클로로메탄화 음이온(⁻:CCl₃) 생성 → 이 음이온이 Cl⁻을 잃으며 디클로로카벤(:CCl₂) 생성.

- 중요한 특징: 첨가가 입체특이적(stereospecific)
- 왜? 반응이 중간체 없이 한 단계로 일어나니까.
- cis-알켄 → cis-dichlorocyclopropane / trans-알켄 → trans-dichlorocyclopropane
2. 디클로로카벤의 구조적 특징과 반응성
- 디클로로카벤(:CCl₂)의 탄소는 sp² 혼성, 비어 있는 p orbital 1개, lone pair 1개
- 이러한 전자 구조는 카보양이온(sp², vacant p orbital)과 매우 유사함.

- 전자 부족이므로 C=C에 전기친화성(electrophilic)으로 작용하여 곧바로 첨가됨.
- 카벤 첨가의 stereospecificity는 카벤이 한 번에 같은 쪽에서 결합되기 때문임.
3. Simmons–Smith 반응 (카베노이드 이용 CH₂ 전달)
- 할로카벤 대신 CH₂ 그룹을 알켄에 전달하고 싶을 때 사용.
- CH₂I₂ + Zn(Cu) → ICH₂ZnI (iodomethylzinc iodide) 생성 → 이 종은 자유 카벤이 아닌 카베노이드(carbenoid) 로 작용하며 → 알켄에 CH₂를 전달 → 비치환 사이클로프로페인 생성.
- Ex. cyclohexene + CH₂I₂/Zn(Cu) → bicyclo[4.1.0]heptane.

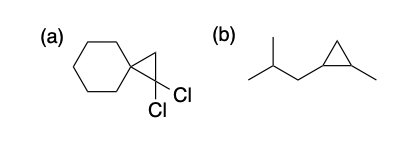
Problem 8-17. What products would you expect from the following reactions?

Answer.

반응형