반응형

- 환원/수소화 (Reduction/Hydrogenation)
- 알켄의 환원/수소화: 알켄 + H₂ + 금속 촉매(Pd, Pt, Ni) → 알케인이 되는 과정
- 유기화학에서의 환원: 다음과 같은 과정으로 전자밀도가 증가하는 것을 의미
- C–H 결합 형성 또는 C–O, C–N, C–X 결합의 분해
- 촉매의 역할: Pd/C(팔라듐), PtO₂(Adams’ catalyst)가 가장 일반적
- 촉매 표면에서 H₂가 분해되어 활성화된 H 원자 형태로 존재한다.
- 알켄은 π 결합으로 촉매와 결합하고 여기서부터 hydrogen insertion이 일어난다.
- 반응의 형태: 수소화는 heterogeneous catalysis → 반응이 용액 전체에서 일어나는 것이 아니라 고체 촉매 표면에서만 일어난다.
- 입체화학: 항상 syn-addition (같은 face로 H₂가 첨가) → 이는 반응이 촉매 표면에서 알켄이 한 면을 완전히 눌러 붙인 상태에서 일어나기 때문.
- cis-alkene → cis 치환 패턴 유지
- trans-alkene → trans 치환 패턴 유지
- 단, 고리 화합물에서는 입체차이가 뚜렷하게 관찰됨

2. 촉매 표면에서의 syn-hydrogenation 매커니즘

Step 1. H₂의 흡착과 해리(dissociation): H₂가 촉매 표면(Pd, Pt)에 흡착되며 H–H 결합이 끊어져 두 개의 H 원자로 분리됨.
Step 2. 알켄의 촉매 표면 흡착: 알켄의 π 결합이 금속 표면과 상호작용하여 이중결합이 촉매 표면에 “눌러붙은” 형태로 고정됨.
Step 3. 첫 번째 H의 이동: 촉매 표면 위의 H 원자가 알켄의 한쪽 탄소에 이동하여 C–H 결합 형성.
이 순간 부분적으로 C–H 결합 형성되고, 금속–탄소 σ 결합도 남아 있어 intermediate는 부분적으로 환원된 형태.
Step 4. 두 번째 H의 이동 (syn-attack): 나머지 H도 같은 face에서 두 번째 탄소로 이동 → 완전한 알케인 형성.
- 두 H가 같은 face에서 동시에 옮겨가기 때문에 최종 생성물은 100% syn-addition 입체화학을 가진다.
- 입체제어 (Steric control)
- 촉매 표면은 평면이고 덩치 큰 치환기가 있는 face는 촉매에 닿지 못함.
- 따라서 촉매가 접근 가능한 face에서만 수소화 진행
- α-pinene 같은 경우, 상단 face가 CH₃에 의해 막혀 있어 반대 face에서만 수소화가 진행됨 → 단일 입체이성질체 생성
3. 선택성 (chemoselectivity)
- 촉매 수소화는 알켄에 대해 매우 높은 반응성을 보이지만, 다른 관능기에 대해서는 반응성이 다름
- 반응 O : C=C (가장 빠르게 환원됨)
- 반응 X 또는 느림 : Aldehyde (조건 필요), Ketone (조건 필요), Ester, Nitrile, Aromatic ring (일반 Pd/H₂ 조건에서는 거의 반응 안 함)
- 예시:
- Methyl 3-phenylpropionate → aromatic ring은 전혀 환원되지 않음
- Cyclohexylideneacetonitrile → nitrile 기능기 유지
- Cyclohex-2-enone → 알켄만 환원, ketone은 그대로 유지

4. 생화학적 수소화
- 식품 산업과 지방산의 수소화: 식물성 기름은 다중 불포화 지방산을 포함 → 수소화하면 포화 지방산 및 일부 trans 지방 생성 (부분 수소화 시 이중결합이 cis → trans로 이성질화) → 이 trans 지방이 건강 문제를 일으킬 수 있음
- 생체 내 수소화: NADPH의 역할
- 생체에서는 촉매 금속이 아닌 NADPH가 수소 원자(H⁻ + H⁺)를 제공한다.
- NADPH가 hydride(H⁻)를 전달 → 산(HA)이 H⁺를 제공 → 전체적으로 “H₂ 첨가”와 동일한 결과 → 지방산 합성에도 필수
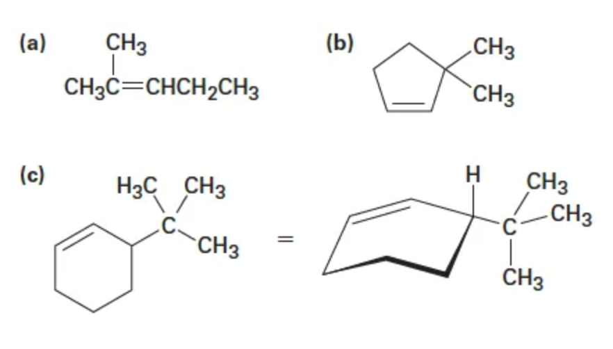
Problem 8-12. What product would you obtain from catalytic hydrogenation of the following alkenes?

Answer.
(a) 2-methylpentane
(b) cis-1,2-dimethylcyclopentane
(c) syn-addition 포화산물 (두 H가 동일 face로 들어간 하나의 입체이성질체)
반응형