반응형

1. 중합(polymerization) 개요
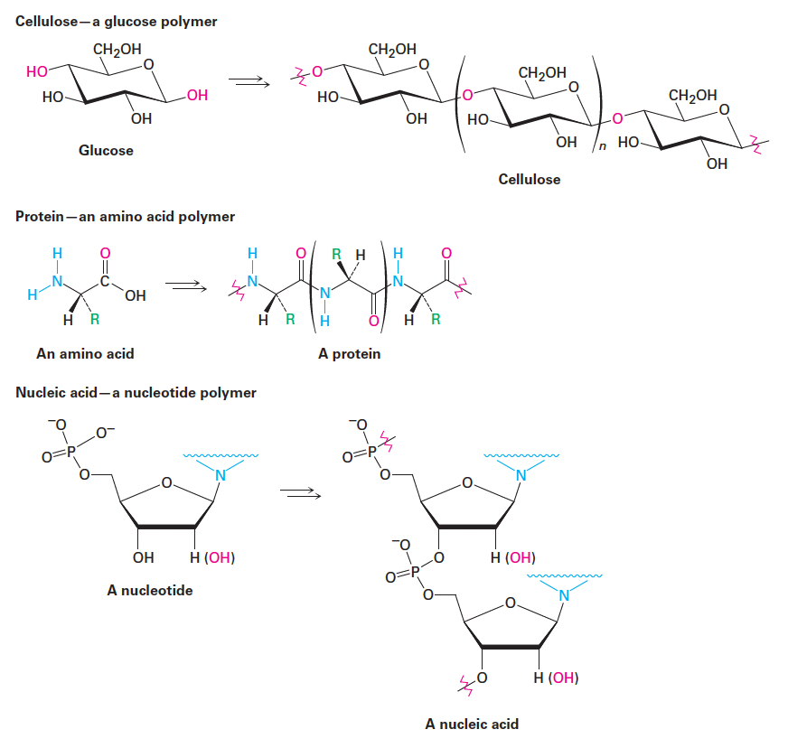
- 고분자(polymer): 작은 단위체(monomer)가 반복 결합해 형성된 거대 분자.
- 생체 고분자 예시:
- Cellulose: glucose 반복 결합
- Proteins: amino acid monomer 반복
- Nucleic acids: nucleotide 반복 결합

- 합성 고분자 예시:
- Polyethylene: ethylene(에틸렌) → —CH₂CH₂— 반복
- 분자량이 백만 단위까지 올라가고, 하나의 사슬에 20만 개 이상의 반복 단위 포함 가능.
- 전 세계 폴리에틸렌 생산량: 약 8천만 톤/년.
2. 연쇄중합(chain-growth polymerization)의 반응 단계
- 폴리에틸렌과 같은 단순 알켄 고분자는 라디칼이 C=C에 첨가 → 새로운 라디칼 형성이 반복되면서 성장함.
- 라디칼 반응을 표시할 때는 fishhook 화살표(½ 화살) 를 사용함.
(1) Initiation (개시 단계)

- 대표 개시제: benzoyl peroxide
- 과산화물 O–O 결합이 열로 homolytic cleavage → benzoyloxy radical 형성 → CO₂ 방출 후 phenyl radical (Ph·) 생성.
- 이 라디칼이 ethylene의 C=C에 첨가하여 새로운 탄소 라디칼 생성.
(2) Propagation (전파 단계)

- 생성된 탄소 라디칼이 또 다른 ethylene에 첨가 → 사슬이 점점 길어짐.
- 이 과정이 수백~수천 회 반복되며 거대 고분자 사슬 형성.
(3) Termination (종결 단계)

- 두 성장 중 사슬 라디칼이 결합하거나 (coupling), 다른 라디칼이 소비되면서 반응이 종료됨.
3. 치환된 비닐 단량체의 중합 및 고분자 구조 예시
- 치환 알켄(비닐 모노머)도 동일한 라디칼 중합 가능.
- 예: Propylene → Polypropylene / Styrene → Polystyrene
- 치환 위치가 비대칭인 경우(예: propylene) 라디칼이 어느 탄소에 첨가될 수 있으나, 더 안정한 2° 라디칼 형성 방향으로만 중합이 진행됨

- Table 8-1: 산업적으로 중요한 알켄 고분자들 (PE, PP, PVC, Teflon, PMMA 등)

Problem 8-18. Show the monomer units you would use to prepare the following polymers:

Answer.
(a) CH₂=CH–CH₂–CH₂–OCH₃
(b) CH₂=CH–CHCl
Problem 8-19. One of the chain-termination steps that sometimes occurs to interrupt polymerization is the following reaction between two radicals. Propose a mechanism for the reaction, using fishhook arrows to indicate electron flow.

Answer.
Radical disproportionation
- 한 라디칼은 H abstraction, 다른 라디칼은 alkene 형성(β-elimination)
- 결과: R–CH₂CH₃ + R–CH=CH₂
반응형