
1) 아세틸라이드 음이온의 친핵성
- 아세틸라이드 음이온은 탄소가 음전하와 비공유전자쌍을 모두 가지고 있어 매우 강한 친핵체이다.
- 따라서 1° 알킬 할라이드(특히 1° alkyl bromides, iodides)와 SN2 방식으로 반응하여 새로운 C–C 결합을 형성하고, 그 결과 알카인이 한 탄소 더 길어진다.

- 아세틸라이드 음이온이 브로모메탄의 전기양성 탄소를 backside attack 하며 C–C 결합이 형성되고, Br⁻이 떨어져 나가는 과정을 통해 SN2 기작으로 알카인이 확장된다.
2) 아세틸라이드 음이온의 알킬화 반응 매커니즘
- 아세틸라이드 음이온이 알킬 브로마이드의 탄소에 전자쌍을 사용해 결합을 형성하기 시작한다. 이때 C–Br 결합은 transition state에서 부분적으로 끊어지고 있으며 δ–와 δ+ 분포가 나타난다.
- 새로운 C–C 결합이 완전히 형성되면 Br⁻은 완전히 떨어져 나간다. → 반응 전체가 전형적인 SN2 치환 기작임을 알 수 있다.

- Transition state 구조에서 C–Br 결합이 부분적으로 끊어져 있고 새 C–C 결합이 동시에 형성되는 형태가 제시되며, 이를 통해 아세틸라이드 음이온이 SN2 방식으로 작용한다는 직접적 근거를 제공한다.
3) 말단·내부 알카인의 합성 전략
- 알카인 알킬화는 다양한 치환 알카인을 합성하는 데 매우 유용하다.
- 말단 알카인 + NaNH₂ → 아세틸라이드 음이온 생성
- 생성된 음이온 + 1° 알킬 할라이드 → 길어진 알카인 생성
예) 1-Hexyne → (NaNH₂, NH₃) → [아세틸라이드 음이온] → CH₃CH₂CH₂CH₂Br 처리 → 5-Decyne (내부 알카인) 생성

- 반응 순서를 통해 말단 → 음이온 → 내부 알카인으로 단계적 확장이 가능함을 나타내며, 특히 내부 알카인의 생성이 단일 알킬화가 아닌 “연속 알킬화”로 이루어진다.
- 추가적으로, 아세틸렌(H–C≡C–H)은 두 말단을 모두 알킬화할 수 있어,
- 첫 번째 알킬화 → 말단 알카인
- 두 번째 알킬화 → 내부 알카인
형태의 구조 변환 및 확장이 가능하다.
4) 알킬 할라이드의 종류에 따른 반응성
- 아세틸라이드 음이온은 강한 친핵체이므로 1° 알킬 할라이드와만 SN2 반응을 잘 진행한다.
- 2° 또는 3° 알킬 할라이드의 경우 → SN2가 일어나지 못하고 E2 제거 반응이 우세해짐 → 알켄 생성
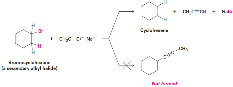
- 예) Bromocyclohexane(2°) + CH₃C≡C:⁻ → SN2 불가 → Cyclohexene + CH₃C≡CH + NaBr (원하는 알카인 생성 X)

2° 알킬 브로미드가 아세틸라이드 음이온과 반응할 때 SN2 transition state로 갈 수 없고 제거(E2)만 일어나는 경향이 강조되어 있으며, 그림에서는 알카인이 생성되지 않고 제거산물이 나온다.
이로써 알카인 알킬화에는 반드시 1° 알킬 할라이드만 적합하다는 결론을 보여준다.
Problem 9-10. Show the terminal alkyne and alkyl halide from which the following products can be obtained. If two routes look feasible, list both.

Answer.
(a) CH₃CH₂CH₂C≡CH + CH₃X or HC≡CH₃ + CH₃CH₂CH₂X
(b) (CH₃)₂CHC≡CH + CH₃CH₂X
(c) Cyclohexylacetylene + CH₃X
Problem 9-11. How would you prepare cis-2-butene starting from propyne, an alkyl halide, and any other reagents needed? This problem can’t be worked in a single step. You’ll have to carry out more than one reaction.
Answer.
- Propyne + NaNH₂ → Propyne anion
- CH₃I (or Br) → 2-Butyne
- H₂, Lindlar catalyst → cis-2-Butene
'전공필수 > 유기화학 (Organic chemistry)' 카테고리의 다른 글
| [유기화학] 10-1. 알킬 할라이드의 명명과 구조 (Names and Structures of Alkyl Halides) (0) | 2025.12.22 |
|---|---|
| [유기화학] 9-9. 유기합성의 개요 (An Introduction to Organic Synthesis) (0) | 2025.12.12 |
| [유기화학] 9-7. 알카인의 산성도: 아세틸라이드 음이온 형성 (Alkyne Acidity: Formation of Acetylide Anions) (0) | 2025.12.10 |
| [유기화학] 9-6. 알카인의 산화적 절단 (Oxidative Cleavage of Alkynes) (0) | 2025.12.09 |
| [유기화학] 9-5. 알카인의 환원 (Reduction of Alkynes) (1) | 2025.12.08 |