
1. IUPAC 명명 기본 규칙
- 알킬 할라이드(haloalkane)의 명명은 알케인의 치환 규칙을 따른다. 규칙은 세 단계로 요약된다.
STEP 1. 가장 긴 탄소 사슬을 찾아 parent name을 정한다.
이 사슬에 이중결합이나 삼중결합이 있다면 반드시 포함해야 한다.
STEP 2. 치환기에 가장 가까운 끝에서 번호를 매기고 모든 치환기에 번호를 부여한다.
할로겐(Br, Cl, I, F)도 치환기로 취급한다.

두 구조 모두 7개의 탄소를 가진 heptane을 parent chain으로 하고, 치환기의 위치가 더 낮아지는 방향으로 번호를 매긴다.
→ 5-Bromo-2,4-dimethylheptane vs 2-Bromo-4,5-dimethylheptane에서 치환기 번호의 합이 더 작은 쪽이 정답(5-Bromo-2,4-dimethylheptane).
할로겐이 여러 종류일 때 각각 번호를 매기고 알파벳 순으로 이름을 쓴다.
예) 1-Bromo-3-chloro-4-methylpentane (B는 C보다 알파벳상 앞이므로 먼저 쓴다.)
STEP 3. 양쪽 방향 모두 가능한 경우, 알파벳순에서 더 앞선 치환기가 낮은 번호를 갖도록 번호 매기기 시작점을 택한다.
예) 2-Bromo-5-methylhexane (not 5-bromo-2-methylhexane)
2. 일반 명명법 (common names)
- 간단한 알킬 할라이드는 흔히 “알킬 + 할로겐” 형태로 부르기도 한다.
- 예) CH₃I → Iodomethane 또는 methyl iodide CH₃CH(CH₃)Cl → 2-Chloropropane 또는 isopropyl chloride Cyclohexyl–Br → bromocyclohexane
- 이러한 common names는 문헌에서는 흔히 쓰이지만, IUPAC 명명이 공식적임.
3. C–X 결합의 길이, 강도, 극성
- 할로겐 원자는 아래로 갈수록 크기가 커지므로 C–X bond length는 증가한다. 반면 bond strength는 감소한다.
- 결합 극성: 할로겐은 탄소보다 전기음성도가 더 크므로 C–X 결합은 극성이고, 탄소는 δ⁺, 할로겐은 δ⁻를 띤다. → 알킬 할라이드의 탄소가 친전자성(electrophilic)이 되어 이후 SN1, SN2 반응에서 공격받게 된다.

Problem 10-1. Give IUPAC names for the following alkyl halides:

Answer.
(a) 1-Iodobutane
(b) 3-Methyl-1-chloropropane
(c) 5-Bromo-2-methylhexane
(d) 2-Chloro-3-methylpentane
(e) 4-Iodo-1-chloropentane
(f) 1-Bromo-4-chlorobutane
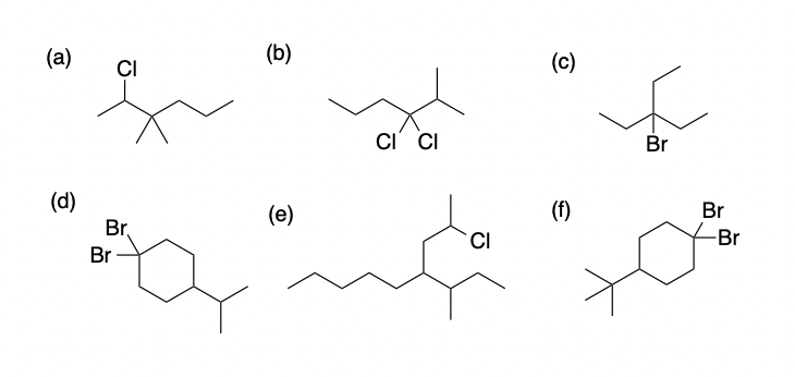
Problem 10-2. Draw structures corresponding to the following IUPAC names:
(a) 2-Chloro-3,3-dimethylhexane (b) 3,3-Dichloro-2-methylhexane (c) 3-Bromo-3-ethylpentane
(d) 1,1-Dibromo-4-isopropylcyclohexane (e) 4-sec-Butyl-2-chlorononane (f) 1,1-Dibromo-4-tert-butylcyclohexane
Answer.
