반응형

- 알켄으로부터 알킬 할라이드를 만드는 기존 방법

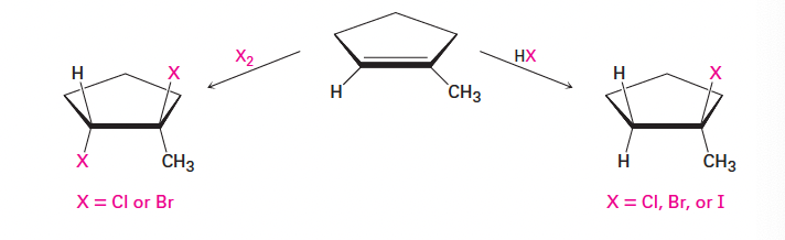
- 알켄으로부터 알킬 할라이드를 합성하는 대표적인 방법으로는 HX의 친전자성 첨가 반응과 X₂의 첨가 반응이 있다.
- HCl, HBr, HI와 같은 hydrogen halide는 극성 메커니즘으로 알켄에 첨가되어 Markovnikov 규칙을 따르는 생성물을 만든다.
- 반면, Br₂와 Cl₂는 할로늄 이온 중간체를 거쳐 anti addition으로 반응하며, 그 결과 1,2-디할로젠화된 생성물이 형성된다.
- 이들 반응은 모두 이중결합 자체에 대한 “첨가(addition)” 반응임.
2. NBS를 이용한 알릴 브로민화의 개념

- 알켄으로부터 알킬 할라이드를 만드는 또 다른 실험실적 방법은 N-bromosuccinimide(NBS)를 사용하는 알릴 브로민화 반응이다.
- 이 반응은 빛(hν) 존재 하에서 진행되며, 이중결합에 직접 첨가되는 것이 아니라 이중결합 옆(alyllic position)에 있는 수소가 브로민으로 치환되는 “치환(substitution)” 반응이다.
- 예를 들어, cyclohexene은 NBS와 빛 조건에서 반응하여 3-bromocyclohexene을 생성한다. 이때 생성물의 이중결합 위치는 유지되며, 브로민은 알릴 위치에 도입된다.
3. NBS 알릴 브로민화의 라디칼 연쇄 메커니즘
- NBS를 이용한 알릴 브로민화는 알케인의 할로젠화와 유사한 라디칼 연쇄 반응으로 진행된다.

(1) 개시 단계: Br· 라디칼이 알켄의 알릴 위치 C–H 결합에서 수소를 제거하여 알릴 라디칼과 HBr을 생성한다.
(2) 전파 단계: 생성된 HBr은 NBS와 반응하여 Br₂를 형성한다. 이후 Br₂는 알릴 라디칼과 반응하여 알릴 브로민화 생성물을 만들고, 동시에 새로운 Br· 라디칼을 생성한다.
(3) 연쇄 유지: 새로 생성된 Br· 라디칼이 다시 알릴 수소를 제거하면서 반응이 연쇄적으로 지속된다.
4. 알릴 위치에서만 브로민화가 일어나는 이유: 결합 해리에너지
- NBS 브로민화가 알릴 위치에서 선택적으로 일어나는 이유는 라디칼 안정성 차이에 있다.
- 일반적인 2차 알킬 C–H 결합의 결합 해리에너지는 약 410 kJ/mol(98 kcal/mol)인 반면, 비닐 C–H 결합은 약 465 kJ/mol(111 kcal/mol)로 매우 강하다.
- 이에 비해 알릴 C–H 결합은 약 370 kJ/mol(88 kcal/mol)로 더 약하다. 이는 알릴 라디칼이 공명 안정화(resonance stabilization)를 받기 때문이다.
- 따라서 Br· 라디칼은 가장 적은 에너지로 끊을 수 있는 알릴 C–H 결합을 우선적으로 공격하게 된다.
5. 라디칼 안정성 순서의 확장

- Vinyl < Methyl < Primary < Secondary < Tertiary < Allylic
- 이 순서는 NBS 알릴 브로민화의 위치 선택성을 이해하는 핵심 기준이 된다.
- 알릴 위치가 존재하는 경우, 다른 알킬 위치보다 우선적으로 브로민화가 일어난다.
반응형