반응형

1. 생물학적 치환 반응의 특징
- 생체 내에서도 SN1, SN2 반응 모두 중요하게 작용
- 실험실 유기화학과의 가장 큰 차이: 기질이 알킬 할라이드가 아니라 유기 인산 에스터(organodiphosphate) 인 경우가 대부분
- 이인산 이온(diphosphate, PPi)은 생체 내에서 할로겐의 생물학적 등가체
- Mg²⁺ 같은 2가 금속 이온이 이인산과 착물 형성
- 음전하를 중화
- 이인산을 매우 좋은 leaving group으로 만듦

2. 생물학적 SN1 반응: 테르페노이드 생합성
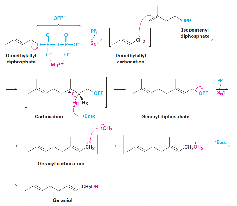
- 테르페노이드(terpenoids) 생합성 경로에서 SN1 반응이 핵심
- 예시 반응: geraniol 생합성
- 출발물질: dimethylallyl diphosphate
- 이인산 이탈 → allylic carbocation 형성 (SN1)
- 이중결합이 친핵체처럼 작용하여 결합 형성

3. Geraniol 생합성 메커니즘 요약
- 1단계: dimethylallyl diphosphate → allylic carbocation + PPi (SN1)
- 2단계: isopentenyl diphosphate의 이중결합이 carbocation 공격
- 3단계: 탈양성자 → geranyl diphosphate 형성
- 4단계: geranyl diphosphate가 다시 SN1로 분해
- 5단계: 물이 친핵체로 작용
- 6단계: 탈양성자 → geraniol 생성
- 핵심
- 이인산 이온이 두 번 모두 leaving group
- 생물학적 SN1 반응의 대표적 예시
4. 생물학적 SN2 반응: 메틸화 반응
- 대부분의 생물학적 메틸화는 SN2 반응
- 메틸기 전달체: S-아데노실메티오닌(S-adenosylmethionine, SAM) → 황이 양전하를 띤 설포늄 이온
- 반응 특징
- 친핵체가 메틸 탄소를 SN2 방식으로 공격
- leaving group: S-adenosylhomocysteine (중성 분자)

- SAM은 생물학적 CH₃Cl에 해당
- 에피네프린 생합성 예: norepinephrine → epinephrine 전환
- 질소 원자의 비공유전자쌍이 메틸 탄소를 SN2로 공격
- 결과: 메틸화된 질소 + SAH 생성
- 핵심: 생체 내 메틸화 = 전형적인 SN2 반응
Problem 11-14. Review the mechanism of geraniol biosynthesis shown in Figure 11-15, and propose a mechanism for the biosynthesis of limonene from linalyl diphosphate.
Answer.
Linalyl diphosphate undergoes SN1 dissociation to form an allylic carbocation after loss of diphosphate. Intramolecular attack of the double bond forms a cyclic carbocation, followed by deprotonation to yield limonene.
반응형
'전공필수 > 유기화학 (Organic chemistry)' 카테고리의 다른 글
| [유기화학] 11-8. E2 반응과 중수소 동위원소 효과 (The E2 Reaction and the Deuterium Isotope Effect) (0) | 2026.01.10 |
|---|---|
| [유기화학] 11-7. 제거 반응: 자이체프 규칙 (Elimination Reactions: Zaitsev’s Rule) (0) | 2026.01.09 |
| [유기화학] 11-5. SN1 반응의 특징 (Characteristics of the SN1 Reaction) (0) | 2026.01.07 |
| [유기화학] 11-4. SN1 반응 (The SN1 Reaction) (0) | 2026.01.06 |
| [유기화학] 11-3. SN2 반응의 특성 (Characteristics of the SN2 Reaction) (0) | 2026.01.05 |