반응형

1. SN1 반응 속도의 기본 개념
- SN1 반응의 속도결정단계(rate-limiting step)는 카보양이온 형성 → 반응 속도는 카보양이온 안정성에 의해 지배됨
- 활성화 자유에너지(ΔG‡)를 낮추는 요인이 SN1 반응을 촉진
- Hammond 가설 적용: 고에너지 중간체(카보양이온)를 안정화 → 전이상태도 안정화 → 반응 속도 증가
2. 기질 (Substrate): 카보양이온 안정성
- SN1 반응 속도 ∝ 생성되는 카보양이온의 안정성
- 알킬 카보양이온 안정성: Methyl < 1° < 2° < 3°
- 공명 안정화 카보양이온: Allylic, Benzylic 카보양이온은 공명구조로 인해 매우 안정
- 1° allylic ≈ 2° alkyl
- 2° allylic ≈ 3° alkyl

- SN1 반응에 유리한 기질 (카보양이온 안정성 순서)

Problem 11-11. Rank the following substances in order of their expected SN1 reactivity:
CH₃CH₂Br, H₂C=CHCH(Br)CH₃, H₂C=CHBr, CH₃CH(Br)CH₃
Answer.
H₂C=CHCH(Br)CH₃ > CH₃CH(Br)CH₃ > CH₃CH₂Br > H₂C=CHBr
Problem 11-12. 3-Bromo-1-butene and 1-bromo-2-butene undergo SN1 reaction at nearly the same rate, even though one is a secondary halide and the other is primary. Explain.
Answer.
1-bromo-2-butene 는 공명구조에 의해 안정된 allylic carbocation을 형성하여 SN1 속도가 2차 알킬과 유사함.
3. Leaving group
- SN1 반응에서 leaving group은 속도결정단계에 직접 관여
- Good leaving group = 안정한 음이온 = 약염기
- SN1 leaving group 반응성 순서: HO⁻ < Cl⁻ < Br⁻ < I⁻ ≈ TsO⁻ < H₂O
- 산성 조건에서 중성 분자(H₂O)가 leaving group이 될 수 있음
- 알코올이 먼저 양성자화 → H₂O로 이탈 → 카보양이온 형성
- 이 때문에 3° 알코올 + HX → 알킬 할라이드 반응은 SN1로 진행

4. 친핵체 (Nucleophile)
- SN1 반응 속도는 친핵체 농도와 세기에 무관
- 이유: 친핵체는 속도결정단계 이후에 관여
- 중성 친핵체도 충분히 반응 가능 → SN1 반응은 종종 중성 또는 산성 조건에서 진행
- 단, 강염기성 친핵체는 제거반응(E1/E2) 경쟁 가능성 증가
5. 용매 (Solvent)
- SN1 반응에서 용매 효과는 카보양이온 안정화에 기인

- Polar protic solvent: SN1 반응을 강하게 촉진 (ex. 물, 메탄올 등)
- 용매 분자가 양전하를 띤 카보양이온을 용매화 → 에너지 감소
- 용매 극성 증가 → SN1 반응 속도 급격히 증가
- SN2: 프로틱 용매 불리 vs SN1: 프로틱 용매 유리
6. SN1 반응 특징 요약
- Substrate
- 가장 안정한 카보양이온을 형성하는 기질이 유리
- 3°, allylic, benzylic: 반응 속도 빠름
- Leaving group
- 안정한 음이온일수록 유리
- Nucleophile
- 반응 속도에 거의 영향 없음
- 비염기성 친핵체 선호
- Solvent
- 극성 프로틱 용매에서 반응 속도 증가
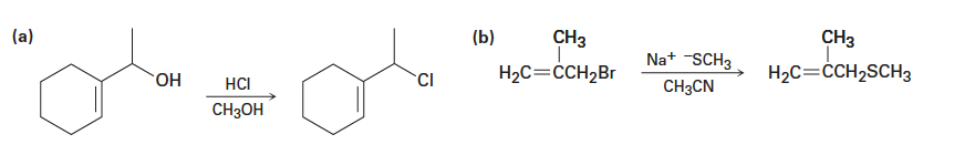
Problem 11-13. Predict whether each of the following substitution reactions is likely to be SN1 or SN2:

Answer.
(a) SN1 (b) SN2
반응형
'전공필수 > 유기화학 (Organic chemistry)' 카테고리의 다른 글
| [유기화학] 11-7. 제거 반응: 자이체프 규칙 (Elimination Reactions: Zaitsev’s Rule) (0) | 2026.01.09 |
|---|---|
| [유기화학] 11-6. 생물학적 치환 반응 (Biological Substitution Reactions) (0) | 2026.01.08 |
| [유기화학] 11-4. SN1 반응 (The SN1 Reaction) (0) | 2026.01.06 |
| [유기화학] 11-3. SN2 반응의 특성 (Characteristics of the SN2 Reaction) (0) | 2026.01.05 |
| [유기화학] 11-2. SN2 반응 (The SN2 Reaction) (0) | 2026.01.04 |