반응형

1. 치환 반응 vs 제거 반응

- 알킬 할라이드가 친핵체/염기와 반응할 때 두 가지 경로 가능
- 치환(Substitution): C–X 결합에서 X⁻가 친핵체로 치환
- 제거(Elimination): 인접한 β-수소와 X⁻가 함께 제거되어 알켄 형성
- 제거 반응에서는 regiochemistry (위치화학) 가 중요함 → 비대칭 알킬 할라이드에서는 여러 알켄 생성 가능
2. 자이체프 규칙 (Zaitsev’s Rule)
- 염기에 의한 HX 제거 반응에서 더 많이 치환된(더 안정한) 알켄이 주생성물
- 알킬 치환기가 많을수록 알켄의 안정성 증가
- 이유: 하이퍼콘쥬게이션, 알킬 치환 효과 때문
- 예시
- 2-bromobutane → 2-butene(major) + 1-butene(minor)
- 2-bromo-2-methylbutane → 2-methyl-2-butene(major)

3. 제거 반응의 세 가지 메커니즘
- E1, E2, E1cB 메커니즘은 C–H 결합과 C–X 결합이 끊어지는 순서가 다름
(1) E1 반응
- 1단계: C–X 결합이 먼저 끊어져 카보양이온 형성 (속도 결정 단계)
- 2단계: 염기가 β-수소 제거 → 알켄 생성
- SN1과 유사 → 안정한 카보양이온(3°, allylic, benzylic)에서 유리

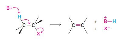
(2) E2 반응
- C–H 결합 파괴와 C–X 결합 파괴가 동시에 일어남
- 중간체 없음, 단일 단계 반응
- 강염기 조건에서 흔함
- 자이체프 생성물이 보통 우세

(3) E1cB 반응
- 1단계: 염기가 먼저 H⁺ 제거 → 카바닐 음이온 형성
- 2단계: X⁻ 이탈 → 알켄 형성
- 실험실보다는 생화학 경로에서 중요

4. 제거 반응 생성물 예측 전략
- 강염기(KOH 등) + 알킬 할라이드 → 알켄 형성 경향
- β-탄소에 존재하는 수소를 모두 고려
- 가능한 모든 알켄 중 이중결합에 알킬 치환기가 가장 많은 구조가 주생성물
Problem 11-15. Ignoring double-bond stereochemistry, what products would you expect from elimination reactions of the following alkyl halides? Which product will be the major product in each case?

Answer.


Problem 11-16. What alkyl halides might the following alkenes have been made from?

Answer.

반응형