
1. 스핀-스핀 갈라짐의 정의와 원인
- 멀티플랫(Multiplet): 스펙트럼의 각기 다른 수소 신호가 하나의 피크가 아닌 여러 개의 피크 묶음으로 나타나는 현상
- 이러한 흡수의 분리는 인접한 핵의 스핀들 사이의 상호작용, 즉 커플링(Coupling)에 의해 발생함.
- 한 핵의 미세한 자기장이 인접한 핵이 느끼는 자기장에 영향을 주어 나타나는 현상임.

- 예시: 브로모에테인(CH₃CH₂Br)의 1H NMR spectrum
- CH₃ 수소는 인접한 -CH₂Br 탄소의 수소 2개에 의해 세 개의 피크(Triplet)로 갈라져 1.68 δ에서 나타남.
- CH₂Br 수소는 인접한 -CH₃ 탄소의 수소 3개에 의해 네 개의 피크(Quartet)로 갈라져 3.42 δ에서 나타남.
- 이는 인접한 수소의 스핀이 외부 자기장 방향과 같거나 반대로 정렬됨에 따라, 이웃한 핵이 느끼는 유효 자기장이 미세하게 달라지기 때문임.

- 위 브로모에테인의 예시와 같이 주변 수소의 개수에 따라 외부 자기장 방향과 같거나 반대로 정렬되는 경우의 수가 정해져 있음. → n + 1 규칙
2. n + 1 규칙과 피크 강도 비율
- n개의 등가인 인접 수소가 있는 경우, 해당 수소 신호는 n + 1 개의 피크로 갈라짐.
- 갈라진 피크들은 파스칼의 삼각형 원리를 따르는 특정 통계적 비율에 따른 상대적 강도를 가짐.

- 예시: 2-브로모프로페인
- 6개의 등가인 메틸 수소는 인접한 1개의 수소(n=1)에 의해 Doublet(1.1 비율)으로 갈라짐.
- CHBr- 수소 신호는 6개의 이웃한 수소(n=6)에 의해 7개 피크인 Septet(1:6:15:20:15:6:1)으로 갈라짐.
- 대표적 다중도: 인접 수소가 0개일 때 Singlet, 2개일 때 Triplet(1:2:1), 3개일 때 Quartet(1:3:3:1) 등.

3. 결합 상수 (Coupling Constant, J)
- 결합 상수(Coupling constant, J): 멀티플렛 내 피크 사이의 거리, Hz 단위로 표시함.
- J 값의 범위는 대략 0 ~ 18 Hz이며, 일반적인 사슬형 알케인의 경우 약 6 ~ 8 Hz임.
- 서로 커플링된 두 그룹의 수소는 동일한 J 값을 공유하며, 이 값은 분광기의 자기장 세기에 독립적임.
- 동일한 J 값을 가진 멀티플렛들은 분자 내에서 서로 인접해 있을 가능성이 높음.
4. 스핀-스핀 갈라짐의 3가지 규칙
RULE 1: 화학적으로 등가인 수소들끼리는 스핀-스핀 갈라짐을 나타내지 않음.
- 예: para-Methoxypropiophenone의 -OCH₃ 수소는 인접 탄소에 수소가 없어 Singlet (3.84 δ)으로 나타남.
RULE 2: n개의 이웃한 등가 수소는 신호를 n + 1 개로 분리하며, 탄소 두 개 이상 떨어진 수소 간에는 보통 커플링이 일어나지 않음.
- 예: 카보닐기 옆 -CH₂- 수소는 인접한 -CH₃ 수소 3개에 의해 Quartet (2.93 δ)으로 갈라짐.
RULE 3: 서로 커플링된 두 수소 그룹은 동일한 결합 상수 J를 가짐.
- 예: 방향족 고리의 두 종류 수소는 서로 커플링되어 각각 Doublet (6.91 δ, 7.93 δ)으로 나타남.

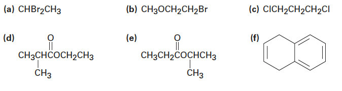
Problem 13-9. Predict the splitting patterns you would expect for each proton in the following molecules:

Answer.
(a) CHBr₂CH₃: CH₃ (doublet), CH (quartet)
(b) CH₃OCH₂CH₂Br: CH₃ (singlet), -CH₂O- (triplet), -CH₂Br (triplet)
(c) ClCH₂CH₂CH₂Cl: terminal -CH₂- (triplet), middle -CH₂- (quintet)
(d) (CH₃)₂CHCOCH₂CH₃: (CH₃)₂ (doublet), -CH- (septet), -CH₂- (quartet), -CH₃ (triplet)
(e) CH₃CH₂COCH(CH₃)₂: -CH₃ (triplet), -CH₂- (quartet), -CH- (septet), (CH₃)₂ (doublet)
Problem 13-10. Draw structures for compounds that meet the following descriptions:
(a) C₂H₆O; one singlet: CH₃OCH₃
(b) C₃H₇Cl; one doublet and one septet: (CH₃)₂CHCl
(c) C₄H₈Cl₂O; two triplets: ClCH₂CH₂OCH₂CH₂Cl
(d) C₄H₈O₂; one singlet, one triplet, and one quartet: CH₃CH₂CO₂CH₃
Answer.

Problem 13-11. The integrated 1H NMR spectrum of a compound of formula C₄H₁₀O is shown in FIGURE 13-11. Propose a structure.

Answer.

(CH₃CH₂)₂O (Diethyl ether)