
1. 수소 등가성의 정의와 목적
- 분자 내에서 전자적으로 동일한 환경에 있는 수소는 고유한 흡수 신호를 가진다.
- 1H NMR을 통해 분자 내에 서로 다른 종류의 수소가 몇 가지 존재하는지 파악할 수 있다.
- 수소의 등가성 여부를 판단하기 위해 해당 수소를 가상의 X 원자로 치환해보는 치환 테스트(Substitution test)를 사용한다.
2. 수소 간의 관계 분류
- 화학적으로 무관한(Unrelated) 수소: 치환 시 서로 다른 구조 이성질체(Constitutional isomers)가 생성되며, 서로 다른 NMR 신호를 나타냄.

- 호모토픽(Homotopic) 수소: 화학적으로 완전히 동일한 수소로, 치환 시 단 하나의 생성물만 가능함. 동일한 NMR 흡수를 보임.

- 에난티오토픽(Enantiotopic) 수소: 치환 시 거울상 이성질체(Enantiomers)가 생성되는 수소임. 전자적으로는 등가이므로 동일한 NMR 흡수를 보임.

- 디아스테레오토픽(Diastereotopic) 수소: 치환 시 부분 입체 이성질체(Diastereomers)가 생성되는 수소임. 전자적으로 부등가이므로 서로 다른 NMR 흡수를 나타냄.

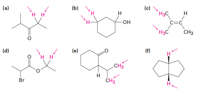
Problem 13-12. Identify the indicated sets of protons as unrelated, homotopic, enantiotopic, or diastereotopic:

Answer.
(a) Diastereotopic (b) Enantiotopic (c) Homotopic
(d) Diastereotopic (e) Enantiotopic (f) Homotopic
Problem 13-13. How many kinds of electronically nonequivalent protons are present in each of the following compounds, and thus how many NMR absorptions might you expect in each?
(a) CH3CH2Br (b) CH3OCH2CH(CH3)2 (c) CH3CH2CH2NO2
(d) Methylbenzene (e) 2-Methyl-1-butene (f) cis-3-Hexene: 3 kinds
Answer.
(a) CH3CH2Br: 2 kinds
(b) CH3OCH2CH(CH3)2: 4 kinds
(c) CH3CH2CH2NO2: 3 kinds
(d) Methylbenzene: 4 kinds
(e) 2-Methyl-1-butene: 5 kinds
(f) cis-3-Hexene: 3 kinds
Problem 13-14. How many absorptions would you expect (S)-malate, an intermediate in carbohydrate metabolism, to have in its 1H NMR spectrum? Explain.

Answer.
4 absorptions. The two hydrogens on the -CH2- group are diastereotopic and thus nonequivalent.