반응형

- Mercury(II)-Catalyzed Hydration (Markovnikov 케톤 생성)
- 알카인은 산성 수용액만으로는 수화되지 않지만, H₂SO₄/HgSO₄ 조건에서는 쉽게 수화된다.
- Markovnikov 지배성에 따라 OH는 더 치환된 탄소로, H는 덜 치환된 탄소로 이동한다.
- 예시: 1-Hexyne → enol → 2-Hexanone (78%)
- 1-Hexyne + H₂O/H₂SO₄/HgSO₄ → enol 중간체 생성
- enol은 안정하지 않아 바로 ketone으로 전환된다 (keto–enol tautomerism).

- Enol → Ketone: Keto–Enol Tautomerism
- 최초 생성물은 enol이지만, 매우 불안정하여 ketone으로 빠르게 이동한다.
- Enol과 ketone은 tautomer 관계이며, 평형은 거의 항상 ketone 쪽에 존재한다.
- Mercury(II)-Catalyzed Mechanism (Figure 9-3)

- 알카인이 Hg²⁺를 공격 → vinyl cation 형성
- H₂O가 친핵공격 → protonated enol
- 물이 H⁺ 제거 → organomercury enol
- Hg²⁺가 H⁺로 치환 → 중성 enol
- Enol이 tautomerism → 최종 ketone 형성
- 알켄 oxymercuration과 달리 NaBH₄ 환원 단계가 필요 없다.
- Internal vs Terminal Alkynes
- Internal alkyne (R–C≡C–R′): 두 가지 케톤 혼합물 생성
- Terminal alkyne (R–C≡C–H): 항상 methyl ketone 생성
- 예) R–C≡C–H → R–C(O)–CH₃

Problem 9-4. What products would you obtain by hydration of the following alkynes?
(a) CH₃CH₂CH₂C≡CCH₂CH₂CH₃
(b) CH₃CH(CH₃)CH₂C≡CCH₂CH₂CH₃
Answer.
(a) Nonan-4-one
(b) 5-Methyl-3-octanone
Problem 9-5. What alkynes would you start with to prepare the following ketones?
(a) CH₃CH₂CH₂C(O)CH₃
(b) CH₃CH₂C(O)CH₂CH₃
Answer.
(a) 1-Pentyne
(b) 2-Pentyne
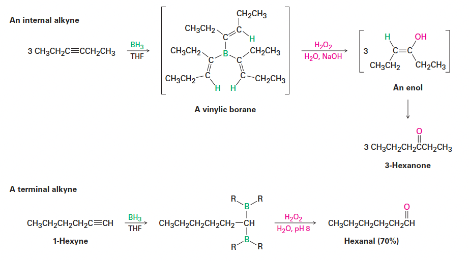
2. Hydroboration–Oxidation of Alkynes (anti-Markovnikov)
- BH₃는 알카인과 반응하여 vinyl borane을 만들고, 이후 H₂O₂/NaOH로 산화하면 enol을 거쳐 ketone 또는 aldehyde를 만든다.
- Internal alkyne → ketone
- Terminal alkyne → aldehyde (anti-Markovnikov)
- 예) 3-Hexyne → 3-Hexanone / 1-Hexyne → Hexanal (70%)

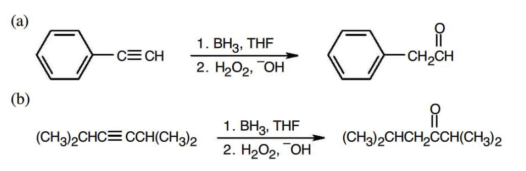
Problem 9-6. What alkyne would you start with to prepare each of the following compounds by a hydroboration–oxidation reaction?

Answer.

Problem 9-7. How would you prepare the following carbonyl compounds starting from an alkyne?

Answer.

반응형
'전공필수 > 유기화학 (Organic chemistry)' 카테고리의 다른 글
| [유기화학] 9-6. 알카인의 산화적 절단 (Oxidative Cleavage of Alkynes) (0) | 2025.12.09 |
|---|---|
| [유기화학] 9-5. 알카인의 환원 (Reduction of Alkynes) (1) | 2025.12.08 |
| [유기화학] 9-3. 알카인의 반응: HX와 X₂의 첨가반응 (Reactions of Alkynes: Addition of HX and X₂) (0) | 2025.12.06 |
| [유기화학] 9-2. 알카인의 합성: 다이할라이드의 제거반응 (Preparation of Alkynes: Elimination Reactions of Dihalides) (0) | 2025.12.05 |
| [유기화학] 9-1. 알카인의 명명 (Naming Alkynes) (0) | 2025.12.04 |