반응형

1. 다이엔친화체 (The Dienophile)
- 디엘스-알더 사이클로 첨가 반응은 알켄 성분인 다이엔친화체(dienophile)에 전자를 끌어당기는 치환기(electron-withdrawing substituent)가 있을 때 가장 빠르게 일어남.
- 에틸렌 자체는 반응이 매우 느리지만, 카보닐기(C=O)나 나이트릴기(-CN)와 같이 전자를 끄는 작용기가 이중 결합에 인접해 있으면 반응성이 크게 향상됨.

- 정전기 전위 지도를 보면 전자를 끄는 작용기가 붙은 다이엔친화체(Propenal, Propenenitrile)의 이중 결합 탄소는 에틸렌보다 전자 밀도가 실질적으로 낮음(더 양전하를 띰)을 알 수 있음.

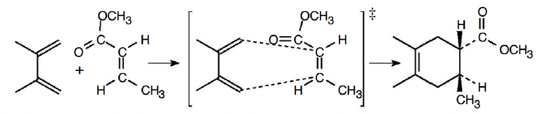
2. 디엘스-알더 반응의 입체화학: 시스-트랜스 보존
- 디엘스-알더 반응은 입체 특이적(stereospecific)이며, 다이엔친화체의 입체 배치가 생성물에서도 유지됨.

- 시스(cis) 다이엔친화체: Methyl (Z)-2-butenoate(시스 형태)를 반응시키면 생성물에서도 두 치환기가 시스 방향으로 위치함.
- 트랜스(trans) 다이엔친화체: Methyl (E)-2-butenoate(트랜스 형태)를 반응시키면 생성물에서도 두 치환기가 트랜스 방향으로 위치함.
3. 엔도 규칙 (The Endo Rule)
- 다이엔과 다이엔친화체가 반응할 때, '엔도(endo)'와 '엑소(exo)' 두 가지 입체 이성질체가 가능하지만 보통 엔도 생성물이 주생성물로 얻어짐.
- 엔도(Endo): 다이엔친화체의 치환기가 새로 형성되는 고리 시스템의 아래쪽(다이엔의 파이 시스템과 겹치는 방향)으로 향하는 배향
- 엑소(Exo): 치환기가 고리 바깥쪽(안티 방향)으로 향하는 배향

- 엔도 생성물이 우세한 이유: 전이 상태에서 다이엔의 파이 궤도함수와 다이엔친화체 치환기의 파이 궤도함수 사이의 오비탈 겹침이 더 커서 에너지가 낮아지기 때문

4. 다이엔의 입체 배향: s-cis 및 s-trans

- 다이엔은 반드시 s-cis 배향(단일 결합을 기준으로 두 이중 결합이 같은 쪽)을 가져야만 디엘스-알더 반응을 일으킬 수 있음.
- 오직 s-cis 상태에서만 다이엔의 1번과 4번 탄소가 다이엔친화체와 동시에 결합할 수 있는 거리에 도달함.

- s-trans 배향에서는 양 끝의 탄소가 너무 멀리 떨어져 있어 반응이 일어날 수 없으며, 단일 결합 회전을 통해 s-cis로 전환되어야 함.

- 고리 구조에 의해 s-trans 배향으로 고정되었거나, 입체 장애(steric strain) 때문에 s-cis 형태를 취할 수 없는 다이엔(예: (2Z,4Z)-2,4-hexadiene)은 디엘스-알더 반응을 하지 않음.

- 반대로 1,3-cyclopentadiene처럼 구조적으로 s-cis 배향이 고정된 다이엔은 반응성이 매우 높아 실온에서 자기 자신과 반응(dimerization)하기도 함.
Problem 14-7. Predict the product of the following Diels–Alder reaction: (1,3-Butadiene + Methyl propenoate)

Answer.

Methyl 3-cyclohexenecarboxylate
Problem 14-8. Which of the following alkenes would you expect to be good Diels–Alder dienophiles?
(a) H2C=CHCOCl, (b) H2C=CHCH2CH2COCH3, (c) Cyclohexene, (d) 2-Cyclohexenone, (e) 2-Cyclopentenone
Answer.
(a), (d)
Problem 14-9. Which of the following dienes have an s-cis conformation, and which have an s-trans conformation? Of the s-trans dienes, which can readily rotate to s-cis?

Answer.
(a) s-trans (회전 불가), (b) s-cis (고정), (c) s-trans (회전 가능)
Problem 14-10. Predict the product of the following Diels–Alder reaction: (1-vinylcyclohexene + dimethyl maleate)

Answer.

반응형