반응형

1. 친핵성 방향족 치환 반응의 특징 및 예시
- 정의: 친핵체(Nu-)가 아릴 할라이드의 할로젠 이탈기(leaving group, L)를 대체하는 반응임.
- 주요 예시: 2,4,6-trinitrochlorobenzene은 실온에서 수용성 NaOH와 반응하여 2,4,6-trinitrophenol(피크린산)을 생성함.

- 응용: Sanger 시약(2,4-dinitrofluorobenzene)은 단백질 말단의 아미노산(NH2기)을 표지하는 데 사용됨.

2. 반응 메커니즘 (SN1 및 SN2와의 비교)

- SN1 반응 불가: 아릴 양이온(aryl cation)이 매우 불안정하여 해리 반응이 일어나지 않음.
- SN2 반응 불가: 방향족 고리가 친핵체의 후면 공격(backside approach)을 입체적으로 차단함.
- NAS (Nucleophilic Aromatic Substitution) 매커니즘
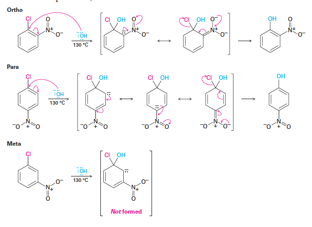
- 친핵성 첨가: 친핵체가 할로젠이 결합된 탄소를 공격하여 공명 안정화된 음이온 중간체인 Meisenheimer complex를 형성함.
- 이탈기 제거: 중간체에서 할로젠 음이온이 제거되면서 치환 반응이 완료됨.

3. 치환기 효과 및 반응 조건
- Electron-withdrawing group(EWG)의 필요성: 고리의 전자 밀도를 낮추어 친핵체의 공격을 용이하게 하고, 중간체의 음전하를 안정화해야 함.
- 위치 효과: EWG가 할로젠에 대해 ortho 또는 para 위치에 있을 때만 공명을 통해 음이온 중간체를 효과적으로 안정화할 수 있음.
- 반응성 차이: p-chloronitrobenzene과 o-chloronitrobenzene은 130 °C에서 반응하지만, m-chloronitrobenzene은 반응하지 않음.

4. 친전자성 치환(EAS) vs 친핵성 치환(NAS) 비교
- EAS(Electrophilic Aromatic Substitution): 전자 공여기(EDG)에 의해 활성화되며, carbocation 중간체를 거치고 수소가 치환됨.
- NAS(Nucleophilic Aromatic Substitution): 전자 흡인기(EWG)에 의해 활성화되며, carbanion 중간체를 거치고 이탈기(보통 할로젠)가 치환됨.
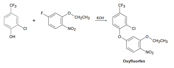
Problem 16-16. The herbicide oxyfluorfen can be prepared by reaction between a phenol and an aryl fluoride. Propose a mechanism.

Answer.

반응형