
1. 알킬 곁사슬의 산화 (Oxidation of Alkyl Side Chains)
- 벤젠 고리 자체는 KMnO4나 Na2Cr2O7과 같은 강한 산화제에 반응하지 않으나, 알킬 곁사슬은 산화되어 카복실기(-CO2H)로 변함.
- 산화 결과 알킬벤젠은 벤조산(Benzoic acid)으로 전환됨.
- 예시 1: 뷰틸벤젠(Butylbenzene)은 KMnO4 수용액에 의해 벤조산으로 산화됨.
- 예시 2: 산업적으로 p-자일렌(p-Xylene)을 산화시켜 폴리에스테르 섬유의 원료인 테레프탈산(Terephthalic acid)을 제조함.


- 반응 조건: 벤질 위치(benzylic position)에 최소 하나 이상의 수소(benzylic hydrogen)가 있어야 반응이 일어남.
- 예외: tert-뷰틸벤젠(tert-Butylbenzene)은 벤질 수소가 없으므로 산화제와 반응하지 않음.

2. 생체 내의 산화 반응 (Biological Oxidation)
- 생합성 경로에서도 유사한 곁사슬 산화가 일어남.
- 예시: 신경전달물질인 도파민(Dopamine)은 벤질 위치의 하이드록실화 반응을 통해 노르에피네프린(Norepinephrine)으로 생합성됨.

- 이 과정은 구리를 함유한 효소인 도파민 beta-모노옥시게네이스에 의해 촉매되며 라디칼 메커니즘을 따름.
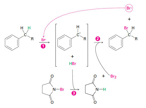
3. 알킬벤젠 곁사슬의 브로민화 (Bromination of Alkylbenzene Side Chains)
- 알킬벤젠 + N-bromosuccinimide (NBS) → 벤질 위치에서 브로민화
- 예시: 프로필벤젠(Propylbenzene)은 과산화벤조일((PhCO2)2) 개시제 존재 하에 NBS와 반응하여 (1-브로모프로필)벤젠을 생성함.

- 메커니즘: 알켄의 알릴 위치 브로민화와 유사하게 벤질 라디칼 중간체를 형성하는 라디칼 메커니즘으로 진행됨.

- 선택성: 생성된 벤질 라디칼 중간체는 벤젠 고리의 pi 전자 시스템과의 p 오비탈 중첩을 통해 공명 안정화되므로, 반응은 오직 벤질 위치에서만 선택적으로 일어남.

Problem 16-18. What aromatic products would you obtain from the KMnO4 oxidation of the following substances?
(a) m-Nitroisopropylbenzene (b) p-tert-Butyltoluene
Answer.
(a) m-Nitrobenzoic acid (b) p-tert-Butylbenzoic acid
Problem 16-19. Refer to Table 6-3 on page 170 for a quantitative idea of the stability of a benzyl radical. How much more stable (in kJ/mol) is the benzyl radical than a primary alkyl radical? How does a benzyl radical compare in stability to an allyl radical?
Answer.
벤질 라디칼은 일차 알킬 라디칼보다 약 35 kJ/mol 더 안정하며, 알릴 라디칼과는 거의 유사한 안정도를 가짐.
Problem 16-20. Styrene, the simplest alkenylbenzene, is prepared commercially for use in plastics manufacture by catalytic dehydrogenation of ethylbenzene. How might you prepare styrene from benzene using reactions you’ve studied?

Answer.

'전공필수 > 유기화학 (Organic chemistry)' 카테고리의 다른 글
| [유기화학] 16-10. 다치환 벤젠의 합성 (Synthesis of Polysubstituted Benzenes) (0) | 2026.03.24 |
|---|---|
| [유기화학] 16-9. 방향족 화합물의 환원 (Reduction of Aromatic Compounds) (0) | 2026.03.23 |
| [유기화학] 16-7. 벤자인 (Benzyne) (0) | 2026.03.21 |
| [유기화학] 16-6. 친핵성 방향족 치환 반응 (Nucleophilic Aromatic Substitution) (0) | 2026.03.20 |
| [유기화학] 16-5. 삼치환 벤젠: 효과의 가산성 (Trisubstituted Benzenes: Additivity of Effects) (0) | 2026.03.19 |