반응형

1. 합성 전략의 개요
- 복잡한 분자의 다단계 합성을 계획하기 위해서는 다양한 유기 반응의 용도와 제한 사항에 대한 지식이 필요함.
- 반응을 사용하는 종류뿐만 아니라, 반응 순서가 전체 합성의 성공에 결정적인 영향을 미침.
- 새로운 치환기의 도입은 기존에 고리에 붙어 있는 치환기의 지향기 효과(directing effect)에 강력하게 영향을 받음.
- 표적 분자에서 거꾸로 한 단계씩 올라가며 출발 물질을 찾는 역합성 분석(retrosynthetic analysis)을 활용하는 것이 효율적임.
Worked Example 16-4. 다치환 벤젠 합성 예시: 4-Bromo-2-nitrotoluene
- 전략: 벤젠에서 브로민화, Friedel-Crafts 알킬화(메틸화), 니트로화 반응이 필요함을 확인하고 순서를 계획함.

- 분석
- 니트로벤젠은 Friedel-Crafts 반응을 하지 않으므로 니트로화는 알킬화 이후에 진행해야 함.
- p-Bromotoluene을 니트로화하면 메틸기의 지향성에 의해 원하는 위치(ortho)에 니트로기가 도입되어 단일 생성물을 얻을 수 있음.

- 합성 경로

Worked Example 16-5. 다치환 벤젠 합성 예시: 4-Chloro-2-propylbenzenesulfonic acid
- 전략: 클로린화, Friedel-Crafts 아실화 후 환원(프로필기 도입), 술폰화 반응의 순서를 결정함.

- 분석
- 일차 알킬기인 프로필기는 재배열을 방지하기 위해 아실화 후 환원 과정을 거쳐야 함.
- 술폰산기는 강한 메타 지향기이므로, 술폰화 반응은 다른 두 치환기가 메타 관계를 형성한 후에 마지막 단계에서 진행하는 것이 유리함.

- 합성 경로

Problem 16-22. How might you synthesize the following substances from benzene?
(a) m-Chloronitrobenzene (b) m-Chloroethylbenzene
(c) 4-Chloro-1-nitro-2-propylbenzene (d) 3-Bromo-2-methylbenzenesulfonic acid
Answer.

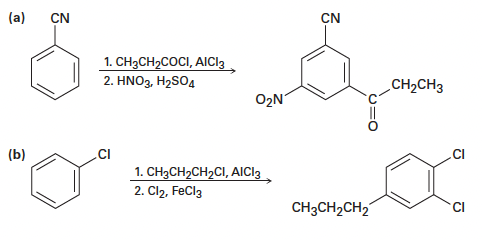
Problem 16-23. In planning a synthesis, it’s as important to know what not to do as to know what to do. As written, the following reaction schemes have flaws in them. What is wrong with each?

Answer.
(a) 시아노기(-CN)는 강한 불활성화기로서 Friedel-Crafts 반응이 일어나지 않음.
(b) 일차 알킬 할라이드 사용 시 탄소 양이온 재배열로 인해 propyl기 대신 isopropyl기가 주생성물로 얻어짐.
반응형
'전공필수 > 유기화학 (Organic chemistry)' 카테고리의 다른 글
| [유기화학] 17-2. 알코올과 페놀의 성질 (Properties of Alcohols and Phenols) (0) | 2026.03.29 |
|---|---|
| [유기화학] 17-1. 알코올과 페놀의 명명법 (Naming Alcohols and Phenols) (0) | 2026.03.28 |
| [유기화학] 16-9. 방향족 화합물의 환원 (Reduction of Aromatic Compounds) (0) | 2026.03.23 |
| [유기화학] 16-8. 방향족 화합물의 산화 (Oxidation of Aromatic Compounds) (0) | 2026.03.22 |
| [유기화학] 16-7. 벤자인 (Benzyne) (0) | 2026.03.21 |