반응형

1. 반응의 개요 및 조건
- 전자 끌개 그룹(EWG)이 없는 할로벤젠은 일반적인 조건에서 친핵체와 반응하지 않음.
- 고온, 고압의 극한 조건(340°C, 170 atm)에서는 강제적으로 반응이 일어남.
- 예시: 클로로벤젠을 수산화나트륨(NaOH) 수용액으로 처리한 후 산성 수용액(H3O+)을 첨가하면 페놀이 생성됨.

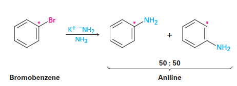
2. 반응 중간체로서의 벤자인 증거
- 브로모벤젠의 C1 위치에 방사성 동위원소 14C를 표시하여 KNH2와 반응시키면, C1과 C2 위치에 각각 50%씩 치환된 아닐린이 생성됨.
- 이는 C1과 C2가 등가인 대칭적인 중간체가 존재함을 시사함.

3. 벤자인 형성 및 반응 메커니즘

- 제거 반응(Elimination): 강염기가 할로겐 인접 위치의 양성자를 제거하면서 할로겐 이온이 이탈하여 벤자인 중간체를 형성함.
- 첨가 반응(Addition): 형성된 불안정한 벤자인의 삼중결합 위치에 친핵체가 공격하여 최종 치환 생성물을 만듦.
- diene이 존재하는 경우, diels-alder cycloaddition이 일어남.
4. 벤자인의 전자 구조

- 일반적인 알카인의 삼중결합은 sp 혼성 탄소를 사용하지만, 벤자인의 삼중결합은 sp2 혼성 탄소를 유지함.
- 새로 형성된 "세 번째 결합"은 고리 평면 내에 존재하는 두 개의 인접한 sp2 오비탈이 측면에서 약하게 겹쳐서 형성됨.
- 이 결합은 일반적인 𝛑 결합보다 매우 약하며, 고리 변형(ring strain)이 커서 반응성이 극도로 높음.
Problem 16-17. Treatment of p-bromotoluene with NaOH at 300 °C yields a mixture of two products, but treatment of m-bromotoluene with NaOH yields a mixture of three products. Explain.
Answer.
p-bromotoluene은 한 종류의 벤자인 중간체(4-methylbenzyne)만 형성하며, 이 중간체의 양쪽 탄소에 OH가 붙어 4-methylphenol(p-cresol)과 3-methylphenol(m-cresol) 두 가지 생성물을 만듦. 반면, m-bromotoluene은 두 종류의 벤자인 중간체(3-methylbenzyne, 4-methylbenzyne)를 형성할 수 있으며, 이들로부터 2-methylphenol(o-cresol), 3-methylphenol(m-cresol), 4-methylphenol(p-cresol) 세 가지 생성물이 모두 가능함.
반응형